WWN

  • ENGLISH
  • JAPANEASE
  • WWNにようこそ
  • WWN入会案内
  • カテゴリー
    • WWN NOW
    • 女性差別撤廃条約実現
    • トピックス
    • WWN イベント
    • 現在の裁判
    • WWNおしゃべりBlog
    • 国会・各省庁にむけて
    • WWNの国際活動
    • ILO・CEDAWから
      • CEDAW
      • ILO
    • WWNの今までの活動
      • シンポジウム
      • 本・DVD
      • マスコミ記事
      • 均等法
    • 住友メーカー裁判資料
    • リンク

    女性差別撤廃条約実現

    2026 選択議定書批准請願署名

    2026年02月27日 11:18 | 女性差別撤廃条約実現

    PAGE TOP▲

    全国一覧表

    2026年02月05日 00:18 | 女性差別撤廃条約実現

    PAGE TOP▲

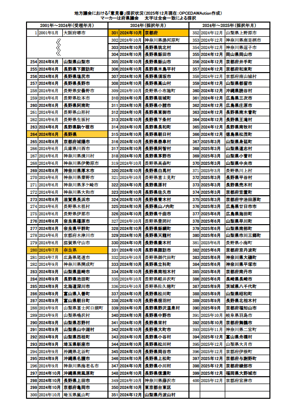
    意見書採択議会全国一覧表

    2025年10月19日 14:19 | 女性差別撤廃条約実現

    PAGE TOP▲

    署名提出院内集会

    2025年06月04日 22:12 | 女性差別撤廃条約実現

    PAGE TOP▲

    批准求める請願署名用紙

    2025年03月23日 11:38 | 女性差別撤廃条約実現

    PAGE TOP▲

    次のページ »

    ホームページTOPへ

    Copyright © 2008 Working Women's Network All rights reserved.